• Предмет: Алгебра
  • Автор: бусяша1015
  • Вопрос задан 10 лет назад

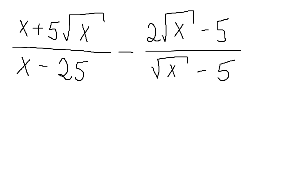
Упростите выражение:

Приложения:

Ответы

Ответ дал: hlopushinairina
0
(x+5√x)/(x-25) -(2√x-5)/(√x-5)=(x+5√x)/(x-25) -(2√x-5)(√x+5)/(√x-5)*(√x+5)=
=(x+5√x-2x+5√x-10√x+25)/(x-25)=(-x+25)/(x-25)=-(x-25)/(x-25)=-1
Вас заинтересует