Ответы
Ответ дал:
0
Я бы решил систему так:
Приложения:

Ответ дал:
0
Вроде так ;))
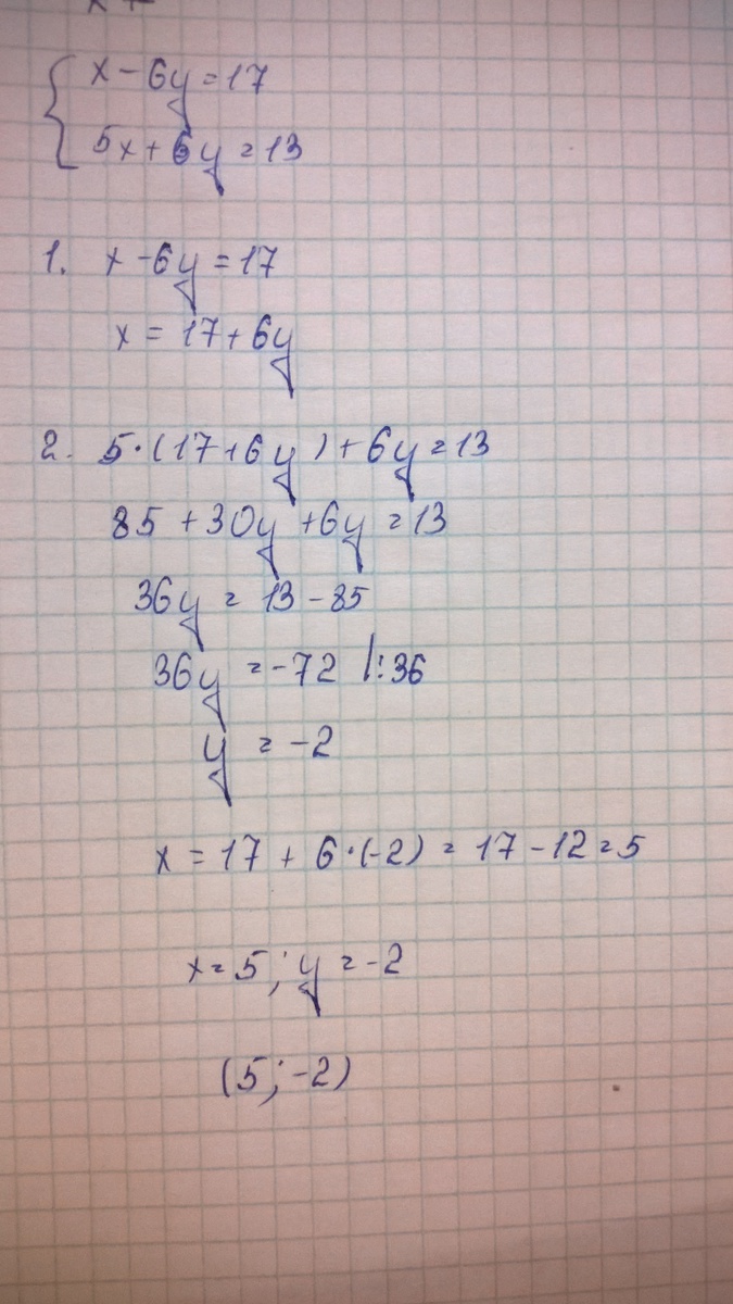
Сначала выражаем х, потом его подставляем и решаем отдельно уравнение.
А дальше просто находим у и подставляем его уже в выраженный х.
И получаем, что у=-2, а х=5
Сначала выражаем х, потом его подставляем и решаем отдельно уравнение.
А дальше просто находим у и подставляем его уже в выраженный х.
И получаем, что у=-2, а х=5
Приложения:

Вас заинтересует
2 года назад
2 года назад
7 лет назад
7 лет назад
10 лет назад
10 лет назад
10 лет назад