• Предмет: Математика
  • Автор: Аноним
  • Вопрос задан 10 лет назад

Ребятушки помогите:3333333

Приложения:

Ответы

Ответ дал: bearcab
0
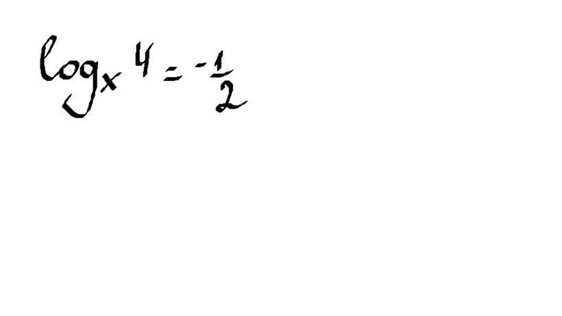
log_x 4=-frac{1}{2}

x^{-0,5}=4

Возведем в квадрат

x^{-0,5*2}=4^{1*2}

x^{-1}=4^{2}

x=frac{1}{16}

Ответ: frac{1}{16}

P.S. пример не очень легкий :)
Ответ дал: Аноним
0
http://znanija.com/task/6714255 помогите:3
Ответ дал: maximznanija
0
4= x^{ -frac{1}{2} } , 4 =  frac{1}{ sqrt{X} } , 16 =  frac{1}{X} , X =  frac{1}{16}
Вас заинтересует