Протон движется в одновременном магнитном поле индукцией
В=50мТл. По окружности
Диаметром d=
20 см. определите кинетическую энергию К проводника.
Ответы
Ответ дал:
0
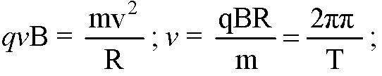
Ответ: Т = 8,9 нс. 1 картинка 1 действие 2 картинка 2 действие
Приложения:


Вас заинтересует
2 года назад
7 лет назад
7 лет назад
10 лет назад
10 лет назад