• Предмет: Математика
  • Автор: darthned
  • Вопрос задан 10 лет назад

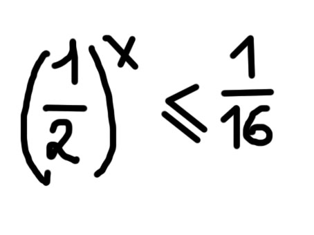
Решить неравенство - 

Приложения:

Ответа на этот вопрос пока нет. Попробуйте найти его через форму поиска.

Вас заинтересует