Ответы
Ответ дал:
0
======================================
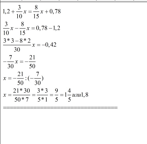
Приложения:


Ответ дал:
0
ок
Ответ дал:
0
всё,решение добавила
Ответ дал:
0
спасибо а то это переводная контрольная работа по матеке спасибо большое
Ответ дал:
0
удачи
Ответ дал:
0
спасибо
Ответ дал:
0
х =(7,6 ×2 7/9)÷2 1/9 =76/10 ×25/9÷19/9 = 76/10×25/9×9/19 = 4×5÷2 = 20÷2 = 10
приведены сокращения в числителе и знаменателе:
76÷19 = 4
19÷19 = 1
25÷5 =5
10÷5 = 2
9÷9 =1
приведены сокращения в числителе и знаменателе:
76÷19 = 4
19÷19 = 1
25÷5 =5
10÷5 = 2
9÷9 =1
Приложения:


Ответ дал:
0
спс
Вас заинтересует
2 года назад
7 лет назад
10 лет назад
10 лет назад
10 лет назад