Математики, помогите плиз с пределами
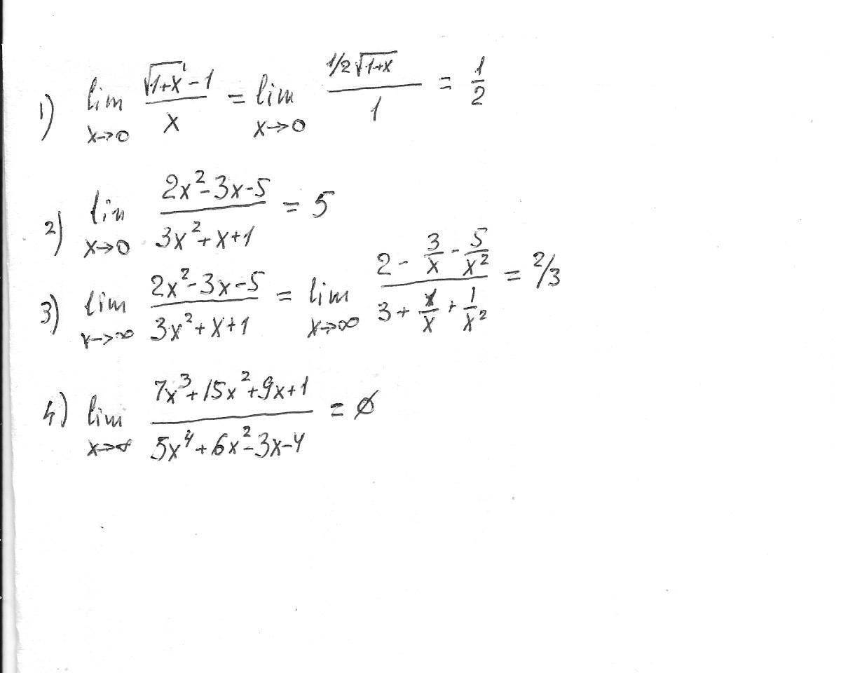
1. Lim √(1+x)-1÷x
x⇒0
2. Lim(2x²-3x-5)÷(1+x+3x²)
x⇒0
3. Lim(2x²-3x-5)÷(1+x+3x²)=∞÷∞=(*)
x⇒∞
4. Lim(7x³+15x²+9x+1)÷(5x^4+6x²-3x-4)=∞÷∞=(*)
x⇒∞
Ответы
Ответ дал:
0
см. приложение........................................
Приложения:

Ответ дал:
0
Спасибо)
Ответ дал:
0
Предел в последнем равен нулю.
Вас заинтересует
2 года назад
7 лет назад
7 лет назад
10 лет назад
10 лет назад
10 лет назад