Ответы
Ответ дал:
0
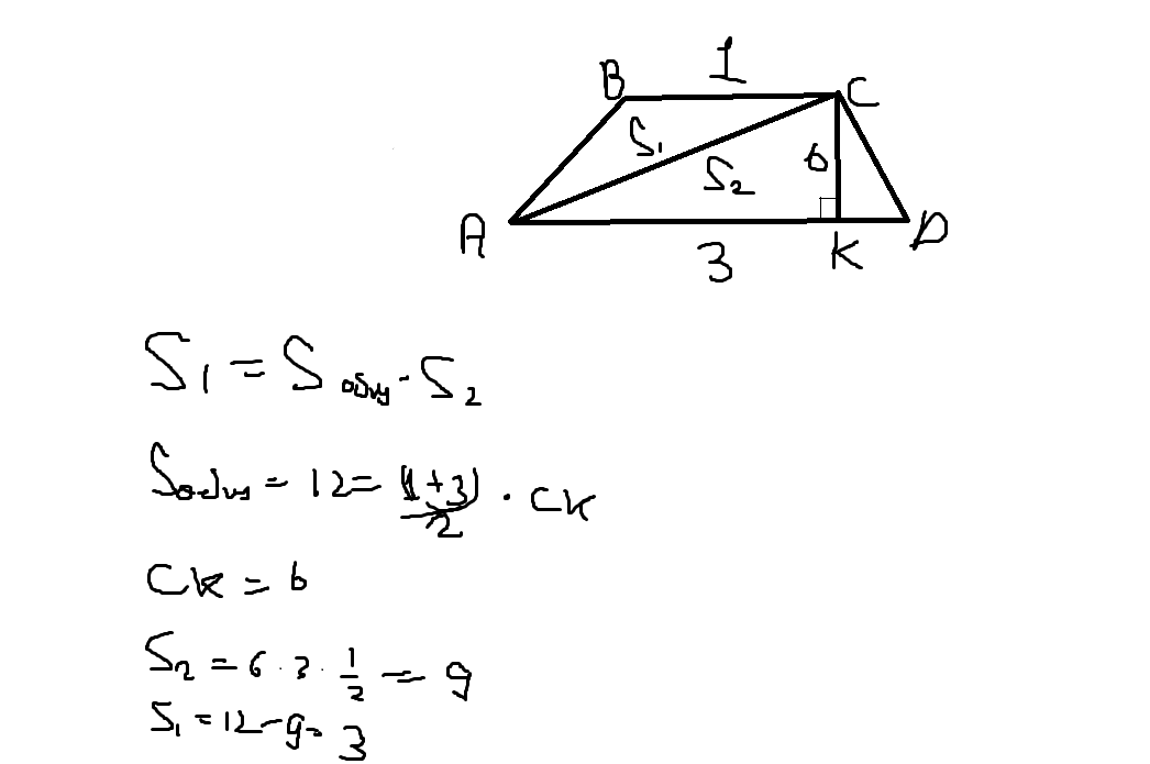
не уверен что правильно но примерно так
Приложения:

Ответ дал:
0
спасибо огромное
Вас заинтересует
2 года назад
2 года назад
7 лет назад
10 лет назад
10 лет назад
10 лет назад