• Предмет: Математика
  • Автор: snsdsoshigg
  • Вопрос задан 10 лет назад

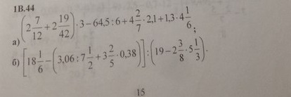
ПОЖААЛУЙСТААА. Это не очень сложно. Хотя бы одно из них. Нужно только A

Приложения:

Ответы

Ответ дал: васек1997
0
1,75-7/9*(0,85+4/35)+7,511:3,7*10/29=
=1,75-7/9(27/28)+7,551:3,7*10/29=
=1,75-3/4+203/290=
=1+203/290
=1,7
Вас заинтересует