• Предмет: Математика
  • Автор: lyudka45
  • Вопрос задан 10 лет назад

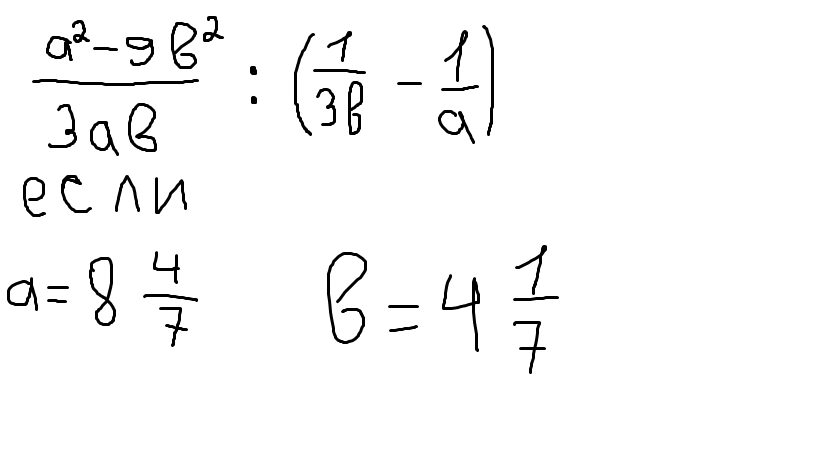
помогите найти значение выражения

Приложения:

Ответы

Ответ дал: vados1985
0
a^2-9b^2/3ab:a-3b/3ab=(a-3b)(a+3b)/3ab *3ab/a-3b=a+3b
8целых4/7+3*4целых1/7=60/7+87/7=147/7=21
Вас заинтересует