• Предмет: Математика
  • Автор: МолочныйСон
  • Вопрос задан 10 лет назад

Помогите,пожалуйста

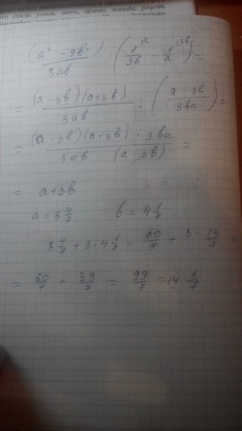
(а^2-9b^2 / 3ab): (1/3b-1/a) при а= 8 4/7; b= 4 1/7

Ответы

Ответ дал: КусьКуська
0
если я нигде не ошиблась, решение должно быть таким...
Приложения:
Вас заинтересует