• Предмет: Математика
  • Автор: Аноним
  • Вопрос задан 10 лет назад

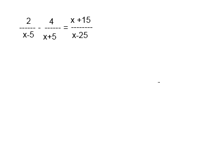
решить уравнение на етий фотографии

Приложения:

Ответы

Ответ дал: 99tasha
0
==================================================
ответ в файле:
Приложения:
Ответ дал: aradif
0
покажи начало
Ответ дал: 99tasha
0
это и есть начало, после основного уравнения
Ответ дал: aradif
0
куда дела х-25
Ответ дал: Аноним
0
99tasha спс
Вас заинтересует