не могу понять как тут решается помогите кто-нибудь ( заранее:извините за корявостьxD)
Приложения:

Ответы
Ответ дал:
0
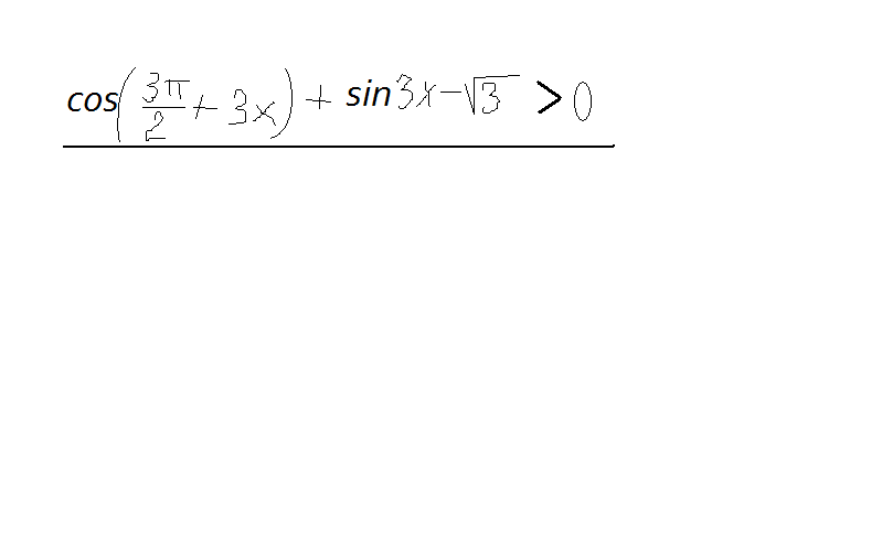
cos(3π/2+3x)+sin3x-√3>0
sin3x+sin3x-√3=0
2sin3x-√3=0
2sin3x=√3
sin3x=√3/2
3x=(-1)^n*π/3+πn,n∈Z
x=(-1)^n*π/9+(πn)/3,n∈Z
sin3x+sin3x-√3=0
2sin3x-√3=0
2sin3x=√3
sin3x=√3/2
3x=(-1)^n*π/3+πn,n∈Z
x=(-1)^n*π/9+(πn)/3,n∈Z
Вас заинтересует
2 года назад
2 года назад
7 лет назад
7 лет назад
10 лет назад
10 лет назад
10 лет назад