• Предмет: Алгебра
  • Автор: enigmalove30
  • Вопрос задан 10 лет назад

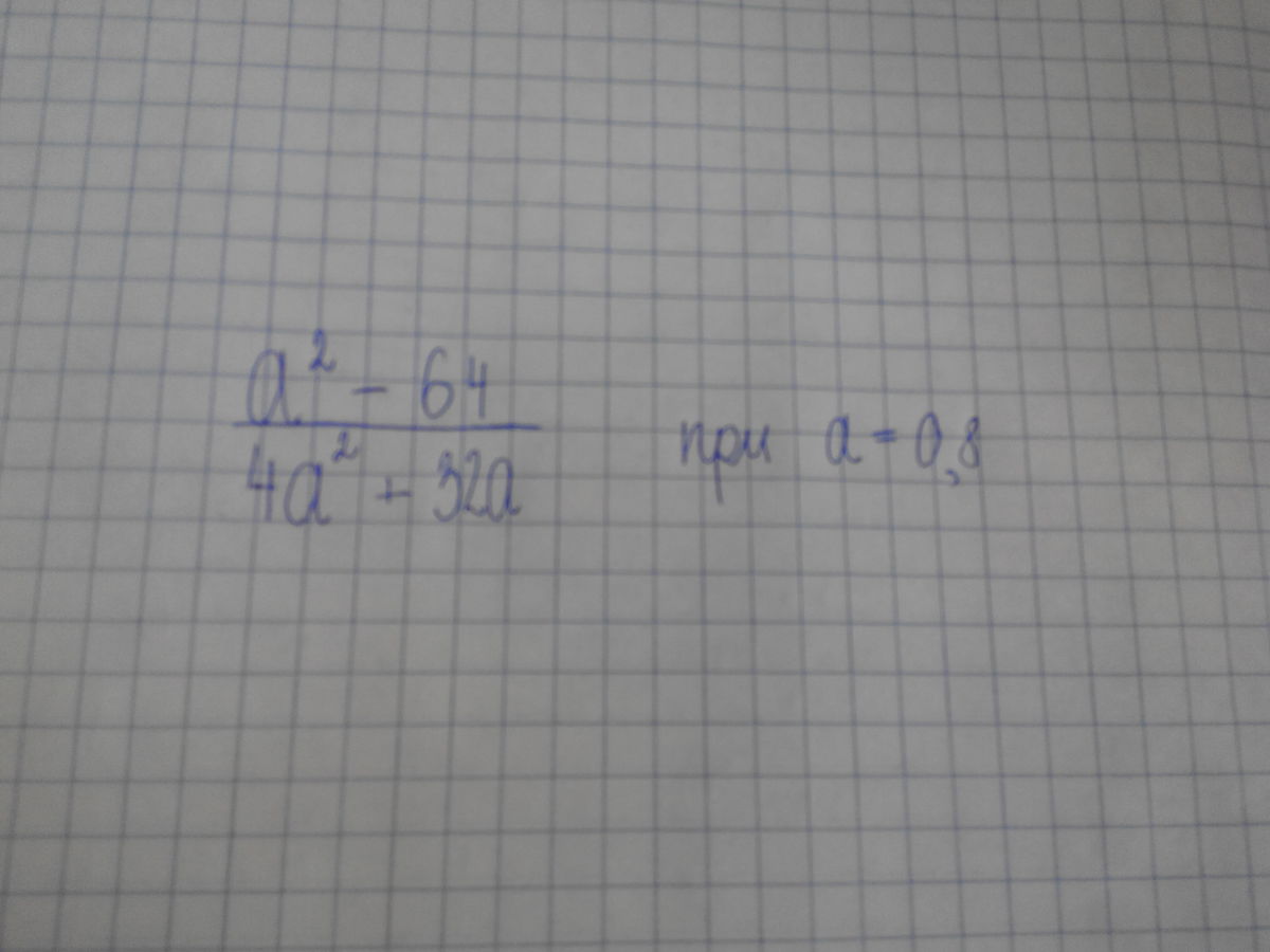
Найдите значение выражения (9 класс)

Приложения:

Ответы

Ответ дал: affone4ka
0
(0,8^2-64):(4*0.8^2+32*0.8) = (0.64-64):(2.56+25.6) = -63.36:28.16 = -2.25
Вас заинтересует