• Предмет: Алгебра
  • Автор: Berrie
  • Вопрос задан 10 лет назад

Решите пож.(звездочки-это умножение)

Приложения:

Ответы

Ответ дал: Лия100
0
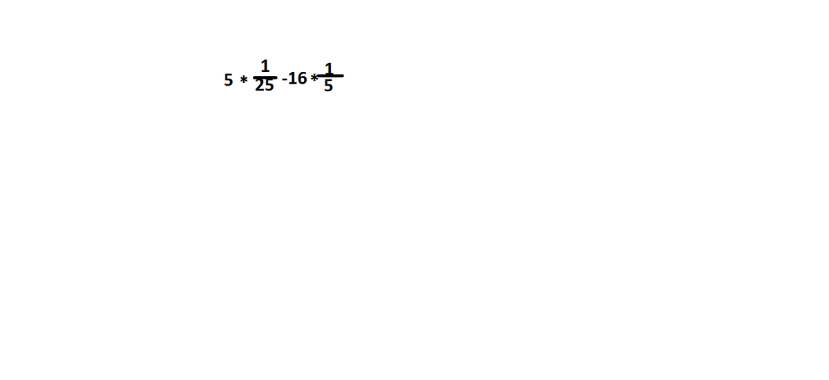
5× 1-16×1 
    25     5

5×1      -   16×1
1×25          1×5

1  -  16 
5      5

ответ:

-15
  5
или
-3
Вас заинтересует