• Предмет: Алгебра
  • Автор: yulya56565
  • Вопрос задан 11 лет назад

Напишите фрмулы сокращенного умножения за 7 класс

Ответы

Ответ дал: Тупыш
0

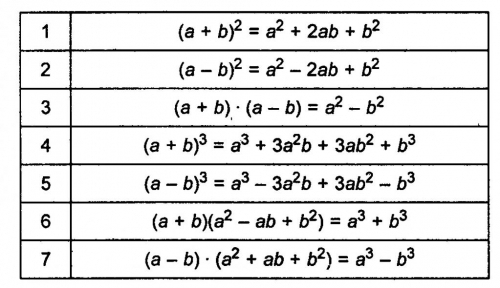
1) а3 + в3 = (а + в) (а2 – ав + в2)

 

2) (а – в)2 = а2 – 2ав +в2

 

3) (а – в) (а + в) = а2 – в2

 

4) а3 – в3 = (а – в)(а2 + ав + в2)

 

5) (а + в)2 = а2 + 2ав + в2

Приложения:
Ответ дал: Ann96
0

квадрат суммы:          (a+b)^{2}=a^{2}+2ab+b^{2}

кварат разности:        (a-b)^{2}=a^{2}-2ab+b^{2}

разность квадратов:  a^{2}-b^{2}=(a-b)(a+b)

разность кубов:         a^{3}-b^{3}=(a-b)(a^{2}+ab+b^{2})

сумма кубов:              a^{3}+b^{3}=(a+b)(a^{2}-ab+b^{2})

куб суммы:                (a+b)^{3}=a^{3}+3a^{2}b+3ab^{2}+b^{3}

куб разности:             (a-b)^{3}=a^{3}-3a^{2}b+3ab^{2}-b^{3}

Приложения:
Вас заинтересует