Ответы
Ответ дал:
0
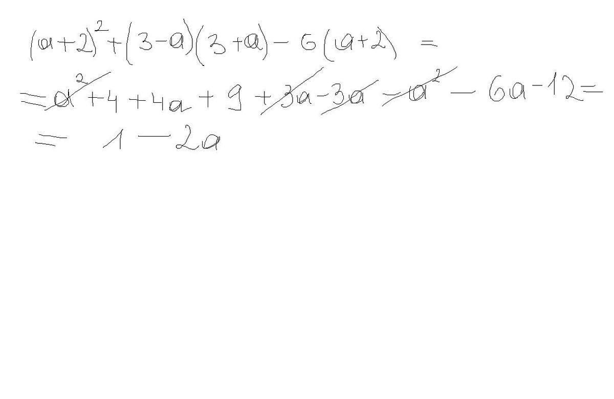
Решение прикрепляю в картинке. Ответ: 1-2а
Приложения:

Вас заинтересует
2 года назад
7 лет назад
7 лет назад
10 лет назад
10 лет назад
10 лет назад