• Предмет: Алгебра
  • Автор: анастас3
  • Вопрос задан 11 лет назад

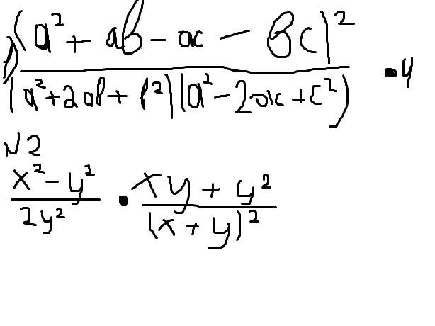
помогите срочно кто что может

Приложения:

Ответы

Ответ дал: Гоша68
0

4*(a-c)^2(a+b)^2/((a+b)^2*(a-c)^2)=4

((x+y)(x-y)*y(x+y))/(2y^2*(x-y)^2)=(x-y)/2y

 

Вас заинтересует