• Предмет: Химия
  • Автор: wdcv19
  • Вопрос задан 10 лет назад

Умоляю! Помогите пожалуйста!(


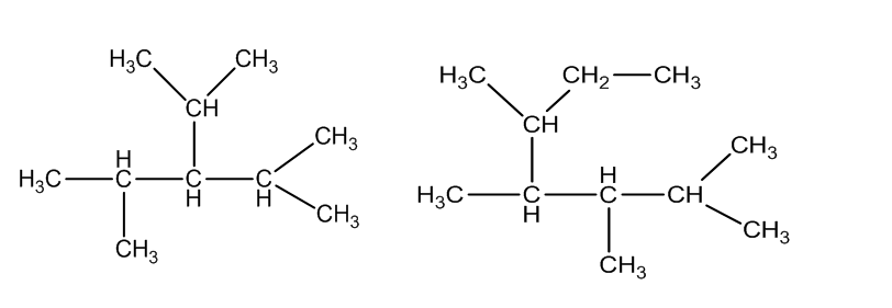
нужно назвать вещества по систематической номенклатуре IUPAC

Приложения:

Ответы

Ответ дал: Poliakova
0
Названия веществ на фотографии:
Приложения:
Вас заинтересует