Умоляю! Помогите пожалуйста!(
нужно назвать вещества по систематической номенклатуре IUPAC
Приложения:
Ответы
Ответ дал:
0
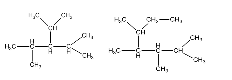
1. 2,4-метил 3-изопропил пентан
2.3,4,5-метил 2-этилгексан
Вроде так. Но проверь на всякий случай.
2.3,4,5-метил 2-этилгексан
Вроде так. Но проверь на всякий случай.
Вас заинтересует
3 года назад
3 года назад
8 лет назад
8 лет назад
11 лет назад
11 лет назад
11 лет назад