Ответы
Ответ дал:
0
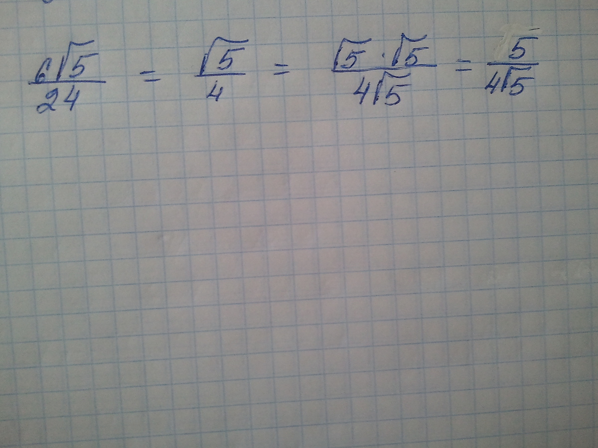
6*корень из 5/24=корень из 5/4
Ответ дал:
0
воттттттттттттттттттттттттттттттттттттттттттттттттттттттттттттттттт
Приложения:

Вас заинтересует
2 года назад
2 года назад
7 лет назад
7 лет назад
10 лет назад
10 лет назад
10 лет назад