Ответы
Ответ дал:
0
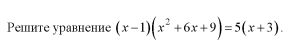
(Х-1)(х^2+6х+9)=5(х+3)
(Х-1)(х+3)^2-5(х+3)=0
(Х+3)(х^2+3х-х-3-5)=0
(Х+3)(х^2+2х-8)=0
Х+3=0
Х=-3
Х^2+2х-8=0
Х=2
Х=-4
(Х-1)(х+3)^2-5(х+3)=0
(Х+3)(х^2+3х-х-3-5)=0
(Х+3)(х^2+2х-8)=0
Х+3=0
Х=-3
Х^2+2х-8=0
Х=2
Х=-4
Вас заинтересует
3 года назад
3 года назад
8 лет назад
10 лет назад
11 лет назад