Ответы
Ответ дал:
0
решение во вложениях)
Приложения:
Ответ дал:
0
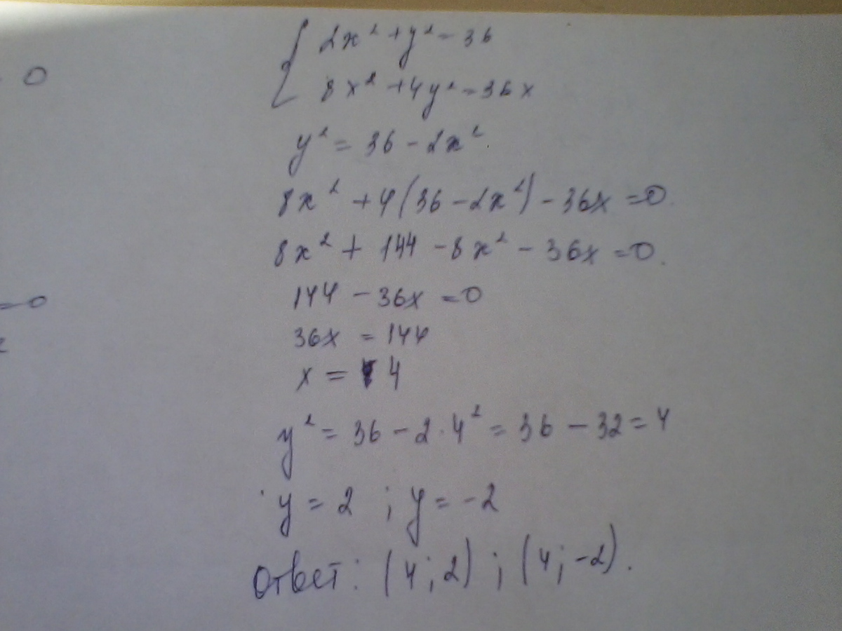
2x²+y²=36
8x²+4y²=36x⇒2x²+y²=9x
9x=36
x=4
2*16+y²=36
y²=36-32=4
y= -2 y=2
(4;-2) (4;2)
8x²+4y²=36x⇒2x²+y²=9x
9x=36
x=4
2*16+y²=36
y²=36-32=4
y= -2 y=2
(4;-2) (4;2)
Приложения:
Вас заинтересует
3 года назад
3 года назад
8 лет назад
8 лет назад
10 лет назад
10 лет назад
11 лет назад