• Предмет: Алгебра
  • Автор: аня2508
  • Вопрос задан 10 лет назад

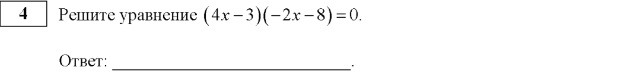
Решите уравнение пожалуйста

Приложения:

Ответы

Ответ дал: Lizaanoprienko
0
только сегодня такое решала)
Приложения:
Вас заинтересует