• Предмет: Математика
  • Автор: NAURIN
  • Вопрос задан 10 лет назад

очень прошу  объясните как  это делать 
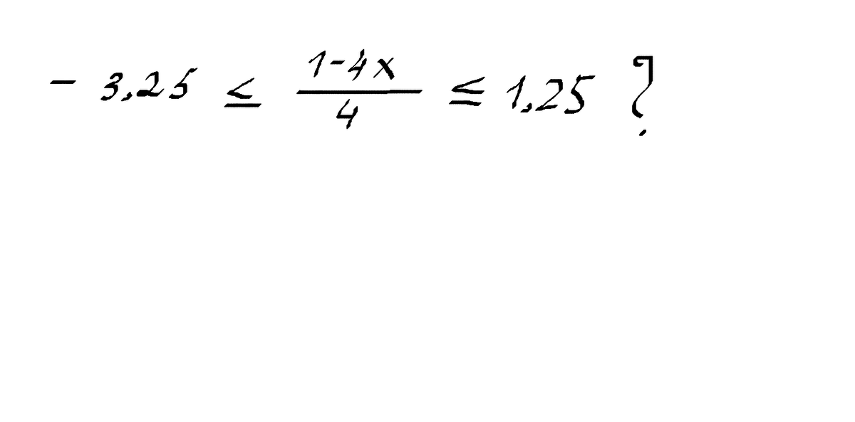
сколько целых чисел содержит множество решений неравенства

Приложения:

Ответы

Ответ дал: OlyaBars
0
нажми на фото , там подробное решение

Приложения:
Вас заинтересует