Ответы
Ответ дал:
0
будут вопросы - спрашивай.
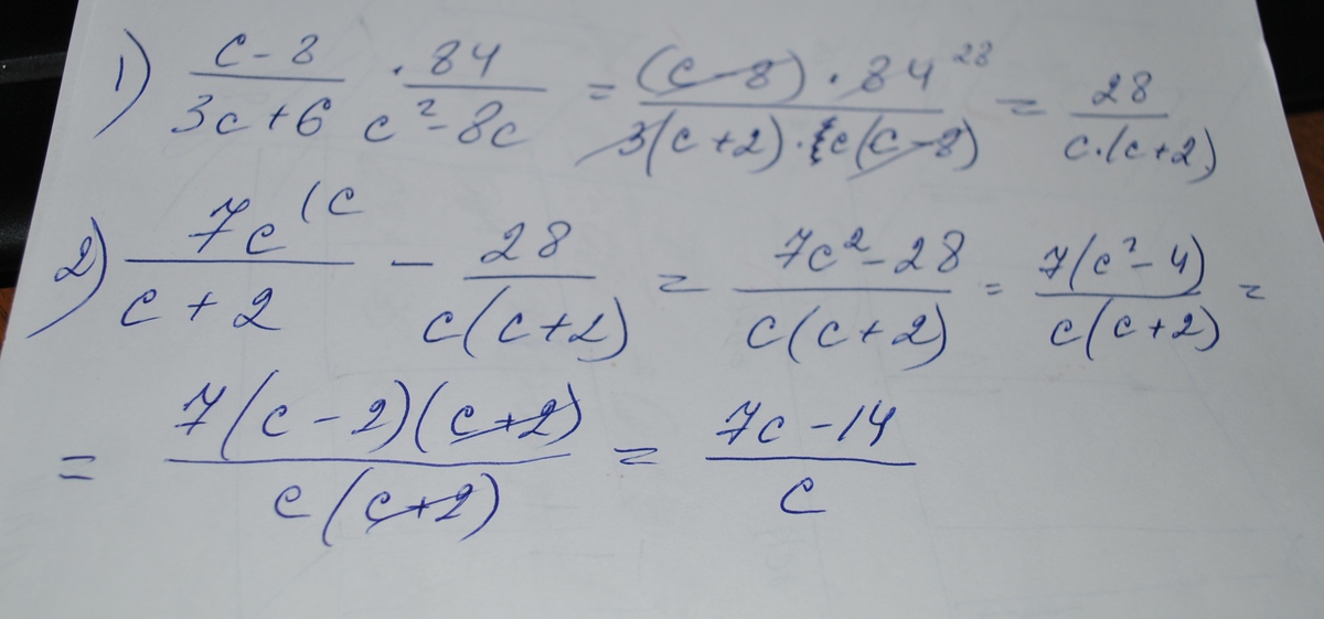
Приложения:

Ответ дал:
0
спасибо
Ответ дал:
0
один вопрос, почему с 7с стало 7с^2? не могу понять
Ответ дал:
0
чтобы привести к общему знаменателю, и верхнюю и нижнюю часть умножили на с, отсюда и 7c^2
Ответ дал:
0
именно
Ответ дал:
0
1) приводишь к общему знаменателю
2) записываешь все в виде одной дроби
3) приводишь подобные
4) анализируешь дробь ( мб формул сокращенного умножения найдешь)
5) если есть возможность упрощаешь ( разложение по формулам вынесение общего множителя)
6) сокращаешь
2) записываешь все в виде одной дроби
3) приводишь подобные
4) анализируешь дробь ( мб формул сокращенного умножения найдешь)
5) если есть возможность упрощаешь ( разложение по формулам вынесение общего множителя)
6) сокращаешь
Приложения:

Вас заинтересует
2 года назад
7 лет назад
7 лет назад
10 лет назад
10 лет назад
10 лет назад