• Предмет: Математика
  • Автор: oleg355
  • Вопрос задан 10 лет назад

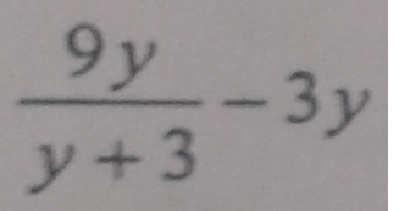
Математика Упростите выражение 

Приложения:

Ответы

Ответ дал: infor5
0
  9y-3y(y+3)    9y-3y^2-9y      -3y^2      
=--------------  = ------------   = --------
      y+3                 y+3           y+3            

Вас заинтересует