Ответы
Ответ дал:
0
Вот таким вот образом....
Приложения:

Ответ дал:
0
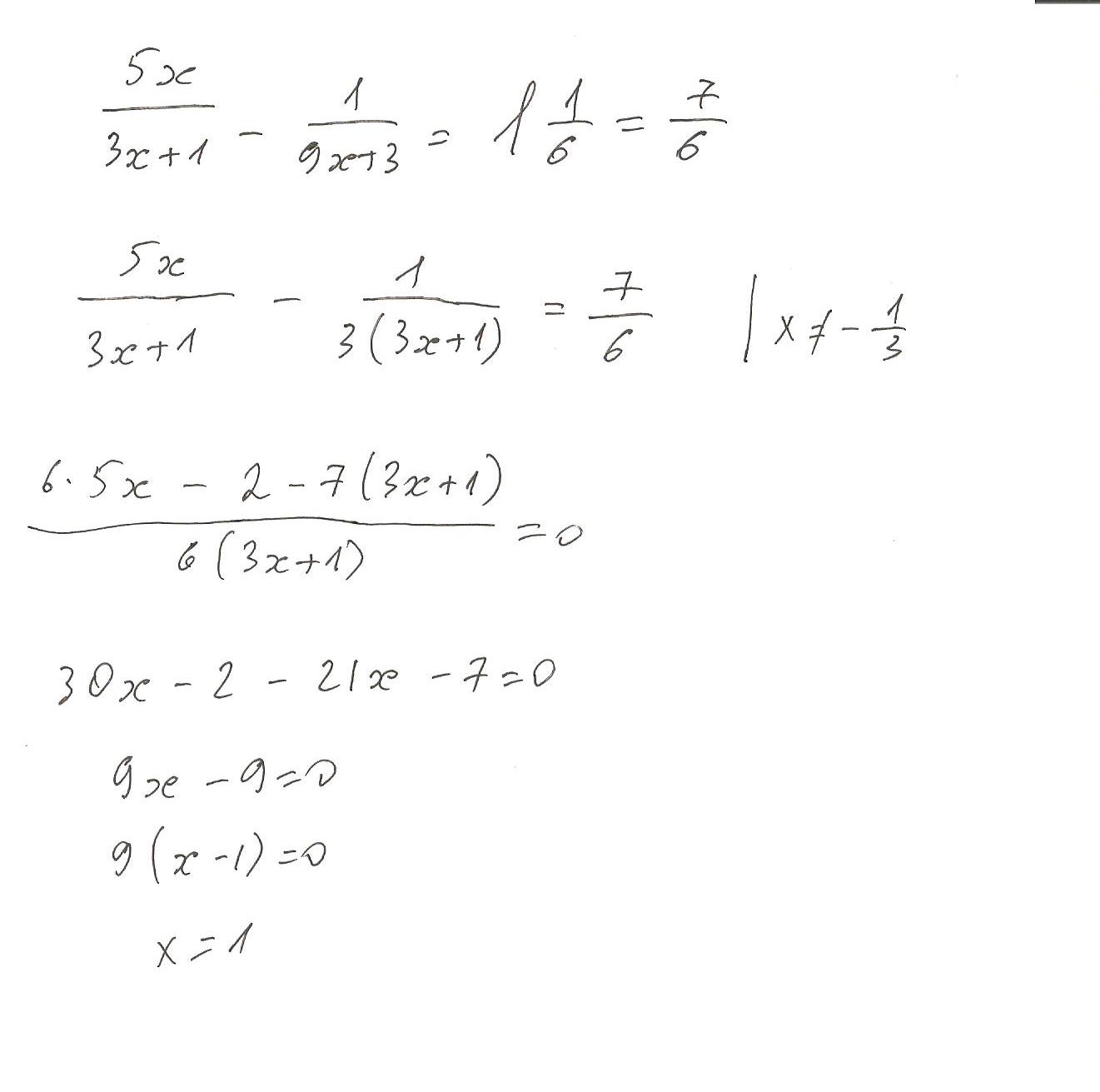
для начала обозначим ОДЗ : х-1/3
в левой части знаменатели 3х+1 и 9х+3
9х+3 = 3*3х+1,т.е. 5х*3=15х
в левой части дробь :
=
дробь 7/6 переведем влево с противоположным знаком
найдем общий знаменатель 6(3х+1)
15x-1 домножаем на 2
- 7/6 домножаем на 3х+1
получим:
(15х-1)*2=30х-2
получим 30х-2-21х-7=0
9х-9=0
9
9(х-1)=0
х=1
Приложения:

Вас заинтересует
2 года назад
8 лет назад
8 лет назад
10 лет назад
10 лет назад
10 лет назад
10 лет назад