• Предмет: Алгебра
  • Автор: Azikaz
  • Вопрос задан 10 лет назад

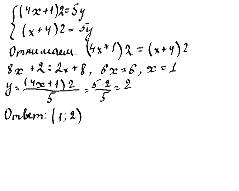
(4х+1)2=5 у (х+4)2=5у решить систему пожалуйста срочно

Ответы

Ответ дал: grisenko97
0
Во вложении........................
Приложения:
Вас заинтересует