Ответы
Ответ дал:
0
Не знаю, но наверное можно найти более легким способом.
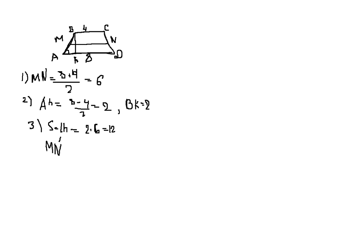
1) Итак, для начала найдем среднюю линию, а именно (8+4)/2 = 6 ( она равна полусумме оснований).
2) проведем высоту к большому основанию, где угол равен 45 градусам. У нас получается угол в 90 градусов, а так как второй угол 45, то и третий угол будет равен 45 градусам, а именно будет равнобедренный, где стороны буду равны двум. Почему двум? можем найти длину отрезанную нашей высотой от основания, которая равна полуразности оснований (8-4)/2 = 2.
3) Ищем площадь по формуле: S=lh (Средняя линия на высоту): 6*2 = 12
1) Итак, для начала найдем среднюю линию, а именно (8+4)/2 = 6 ( она равна полусумме оснований).
2) проведем высоту к большому основанию, где угол равен 45 градусам. У нас получается угол в 90 градусов, а так как второй угол 45, то и третий угол будет равен 45 градусам, а именно будет равнобедренный, где стороны буду равны двум. Почему двум? можем найти длину отрезанную нашей высотой от основания, которая равна полуразности оснований (8-4)/2 = 2.
3) Ищем площадь по формуле: S=lh (Средняя линия на высоту): 6*2 = 12
Приложения:

Ответ дал:
0
S=((8+4)*2)/2=12
Ответ:12
Ответ:12
Приложения:

Вас заинтересует
2 года назад
2 года назад
7 лет назад
7 лет назад
10 лет назад
10 лет назад