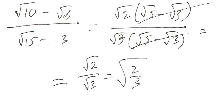
В.чисельнику (корінь з 10 мінус корінь з 6).в.знаменнику (корінь з 15 мінус 3) Спростіть.вираз..будь-ласка!
Ответы
Ответ дал:
0
Надеюсь понятно будет...
Приложения:

Вас заинтересует
2 года назад
2 года назад
8 лет назад
10 лет назад
10 лет назад