Ответы
Ответ дал:
0
надеюсь понятно будет...
Приложения:

Ответ дал:
0
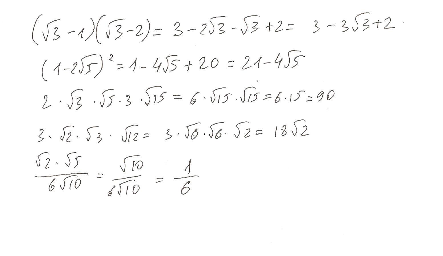
1) (√3-1)(√3-2)= (√3 ·√3 - √3 - 2√3 + 2 = 3 + 2 - 3√3 = 5 - 3√3
2)(1-2√5)²= 1² - 2·1·2√5 + (2√5)² = 1 - 4√5 + 20 = 21 - 4√5
3)2·√3·√5·3·√15= 6·√(3·5·15) = 6·√(15)² = 6·15 = 90
4)3·√2·√3·√12 = 3·√2·√(3·12) = 3·√2·√(36) = 3·6·√2 = 18√2
5)√2·√5÷6√10=√10 /6√10 = 1/6
Приложения:

Вас заинтересует
2 года назад
2 года назад
8 лет назад
8 лет назад
10 лет назад
10 лет назад
10 лет назад
10 лет назад