• Предмет: Физика
  • Автор: анька19
  • Вопрос задан 11 лет назад

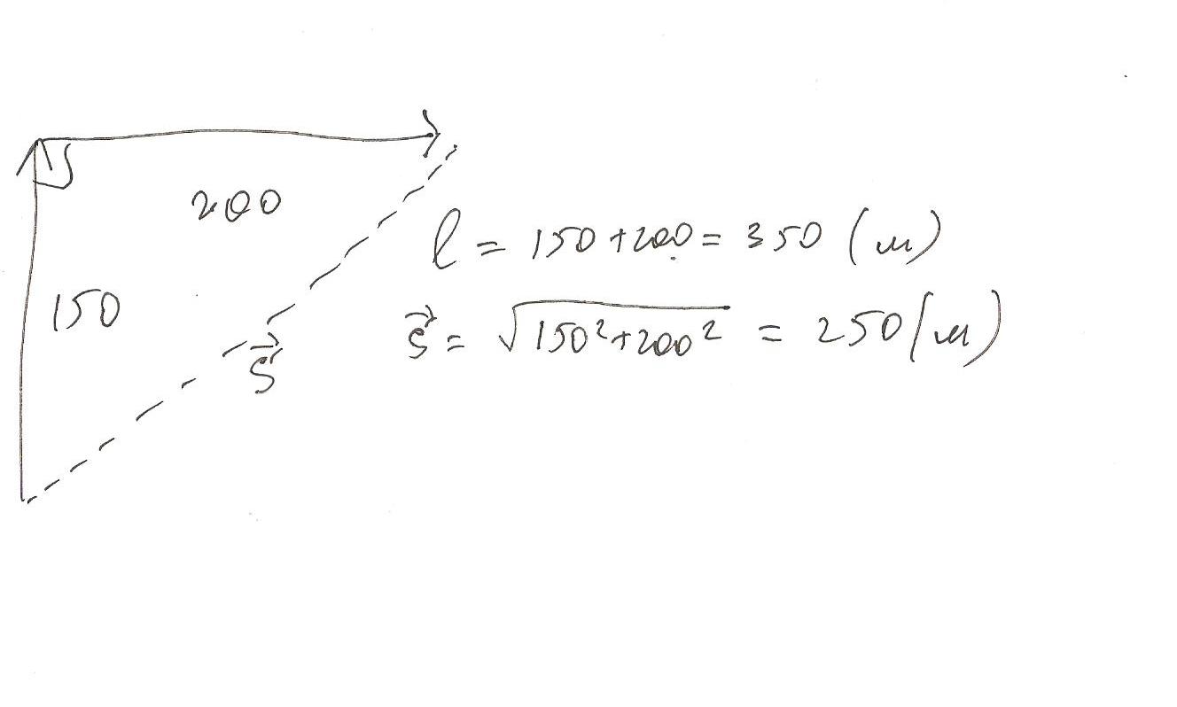
Помогите с физикой 10 класс)  Самолет пролетел по прямой 150 км , а потом повернул на 90 градусов и пролетел еще 200 км.Найдите пройденный самолетом путь и модуль перемещения. Решите пожалуйстаа)

Ответы

Ответ дал: Аноним
0

путь 150+200 =350 км

модуль перемещения √(150^2+200^2)= 250 км

Ответ дал: Artem112
0

на картиночке должно быть понятно

Приложения:
Вас заинтересует