Ответы
Ответ дал:
0
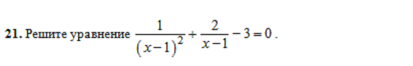
1+2(x-1)-3(x-1)^2=0
1+2x-2-3(x^1-2x+1)=0
1+2x-2-3x^2+6x-3=0
-3x^2+8x-4=0
3x^2-8x+4=0
D=64-48=16=4^2
x1=(8+4)/6=2
x2=(8-4)/6=2/3
1+2x-2-3(x^1-2x+1)=0
1+2x-2-3x^2+6x-3=0
-3x^2+8x-4=0
3x^2-8x+4=0
D=64-48=16=4^2
x1=(8+4)/6=2
x2=(8-4)/6=2/3
Ответ дал:
0
Добавила решение на фото
Приложения:
Вас заинтересует
2 года назад
2 года назад
10 лет назад
10 лет назад
11 лет назад