Произведение первого и четвёртого членов арифметической прогрессии равно -20,а разность прогрессии равна 4.Найдите сумму первых шестнадцати членов этой прогрессии.
Ответы
Ответ дал:
0
Формула 4 члена = a1+ 3d. Тогда a1 * (a1+3d) = -20 и d=4
Найдем а1, а1² + 3da1=-20, подставим d a1² + 12a1=-20, получили квадратное уравнение. a1² + 12a1² +20=0,
по Т. Виета a1 + a2 = -12
a1*a2=20
-10 И -2.
Получается два решения. Для первого
Сумма = (-10 + 4*15)*162 =400
Для второго = (-2 + 4*15)*162 = 464
Найдем а1, а1² + 3da1=-20, подставим d a1² + 12a1=-20, получили квадратное уравнение. a1² + 12a1² +20=0,
по Т. Виета a1 + a2 = -12
a1*a2=20
-10 И -2.
Получается два решения. Для первого
Сумма = (-10 + 4*15)*162 =400
Для второго = (-2 + 4*15)*162 = 464
Ответ дал:
0
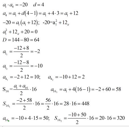
смотрите решение в файле
Приложения:

Вас заинтересует
2 года назад
2 года назад
10 лет назад
10 лет назад
10 лет назад
10 лет назад