• Предмет: Алгебра
  • Автор: natlipko
  • Вопрос задан 10 лет назад

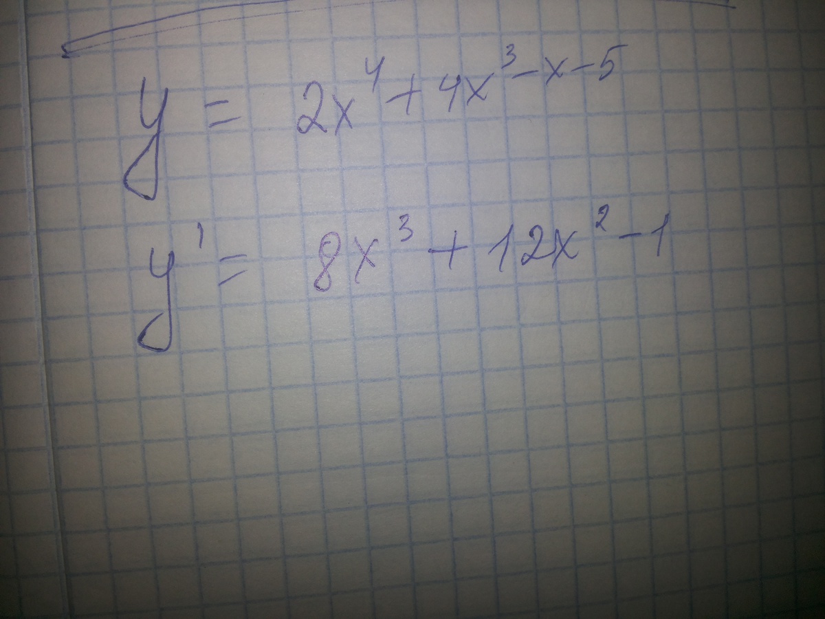
y=2x^4+4x^3-x-5 Найти у штрих

Ответы

Ответ дал: Alina121296
0
Производную?
y'= 8x^3 + 12x^2 - 1
Ответ дал: 96dia
0
Решение на фотографии
Приложения:
Ответ дал: natlipko
0
А как дальше решить уравнение?
Ответ дал: Alina121296
0
Если это B15 из ЕГЭ, то тогда это надо проиравнивать к нулю и искать x
Вас заинтересует