• Предмет: Алгебра
  • Автор: sasha1228
  • Вопрос задан 10 лет назад

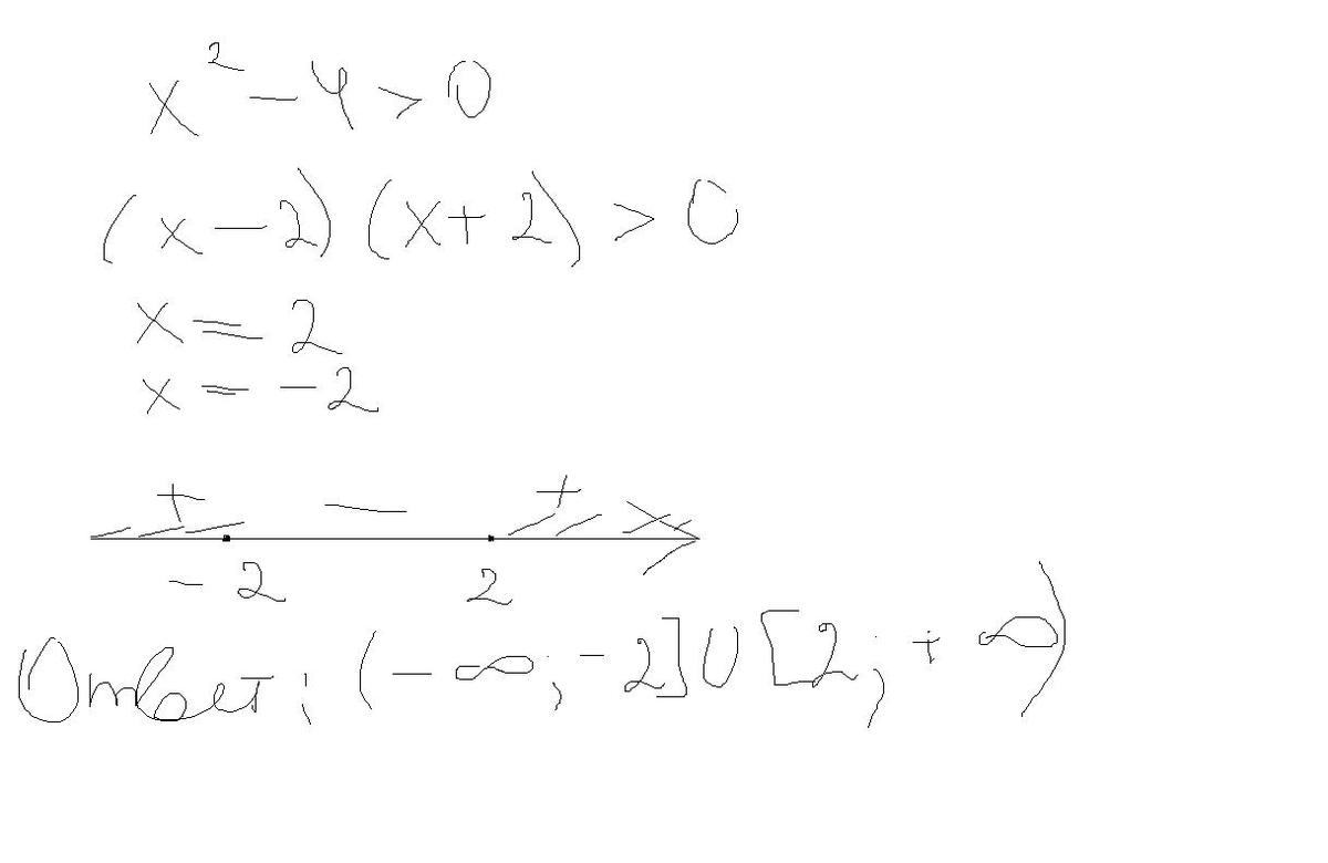
сколько будет икс квадрат минус четыре больше нуля

Ответы

Ответ дал: KABYKENOV
0
 x^{2} >4
x∈(-бесконечность; -2) (2: бесконечность)
Ответ дал: nasttew
0
+++
Ответ дал: nasttew
0
Вот такое должно было быть решение

Приложения:
Вас заинтересует