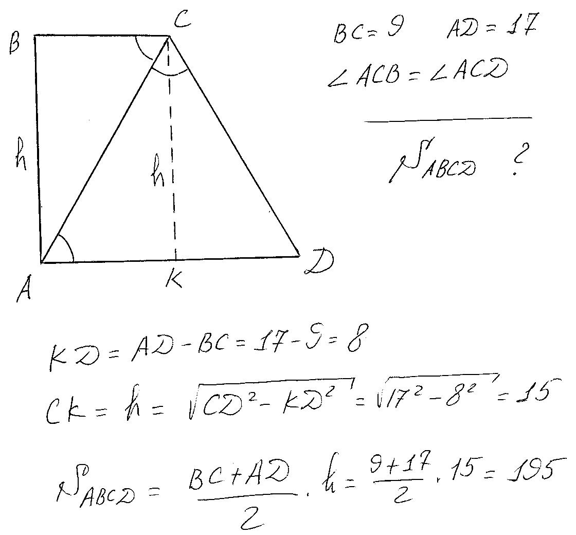
Основи прямокутної трапеції 9 см і 17 см, а діагональ є бісектрисою її тупого кута. Знайти площу цієї трапеції.
Ответы
Ответ дал:
0
Углы ВСА и САВ равны как накрест лежащие(смотри рисунок). Но уголы ВСА и ДСА равны по условию. Тогда равны и углы АСД и САД. То есть треугольник САД равнобедренный, и СД =АД=17. По теореме Пифагора находим h. Окончательный ответ Sавсд=195.
Приложения:

Вас заинтересует
2 года назад
2 года назад
8 лет назад
8 лет назад
10 лет назад
10 лет назад
10 лет назад