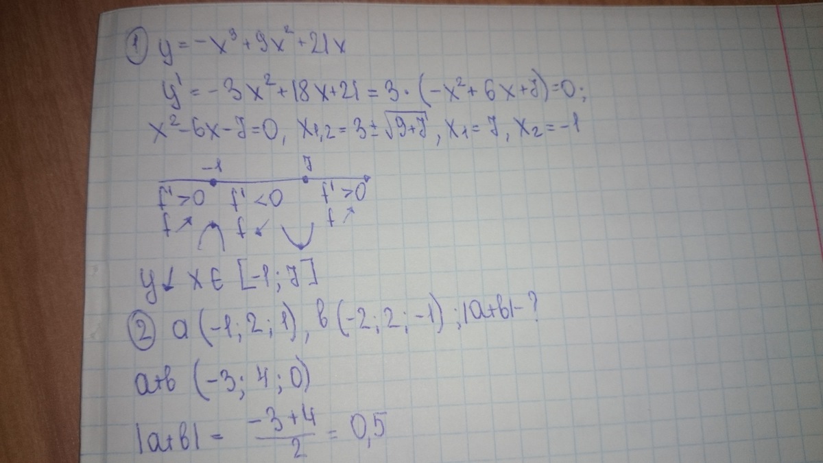
1)Найти промежутки убывания функции y=-x^3+9x^2+21x. 2)найти длину вектора a+b если a(-1;2;1) b(-2;2;-1)
Ответы
Ответ дал:
0
Решение в фото
P.S.: насчет второго неуверена, но скорее всего так
P.S.: насчет второго неуверена, но скорее всего так
Приложения:

Вас заинтересует
2 года назад
2 года назад
7 лет назад
7 лет назад
10 лет назад
10 лет назад
10 лет назад