• Предмет: Математика
  • Автор: Igor447
  • Вопрос задан 10 лет назад

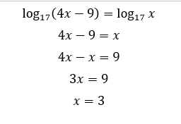
Корни уравнения log17(4x - 9) = log17x равны ...
напишите только ответ!

Ответы

Ответ дал: urasuper123
0
вот решение вашего задание 
Приложения:
Вас заинтересует