• Предмет: Математика
  • Автор: Umnik123
  • Вопрос задан 11 лет назад

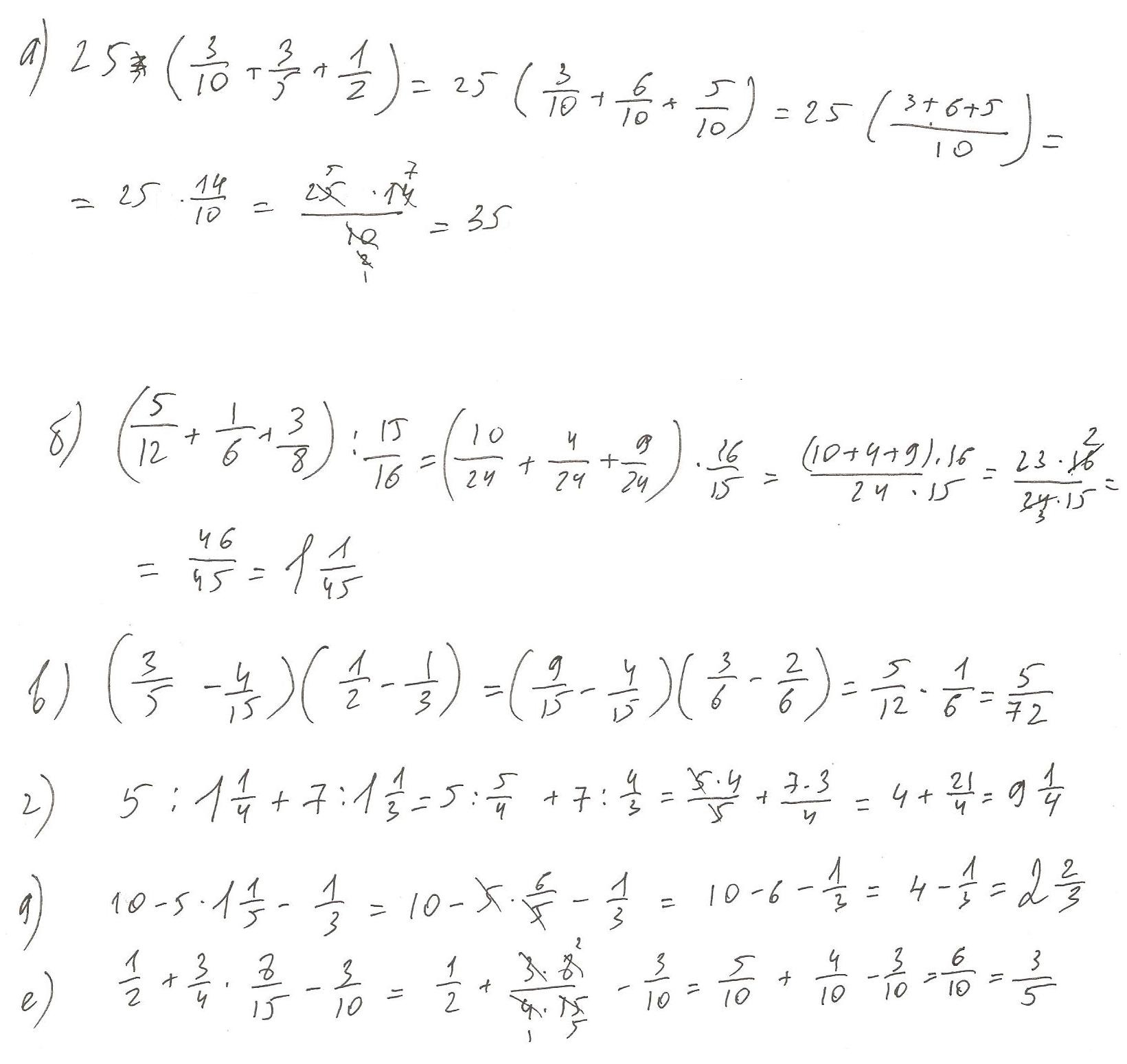
(Это Дроби)Найдите значение выражений(нужно расписать решение) а)25х(3/10+3/5+1/2)= б)(5/12+1/6+3/8):15/16= в)(3/5-4/15)х(1/2-1/3)= г)5:Одну целую одну четвёртую+7:Одну целую одну третью= д)10-5хОдну целую одну пятую-1/3= е)1/2+3/4х8/15-3/10= помогите!

Ответы

Ответ дал: Artem112
0

Надеюсь понятно будет.....

Приложения:
Вас заинтересует