• Предмет: Алгебра
  • Автор: Надя2911
  • Вопрос задан 11 лет назад

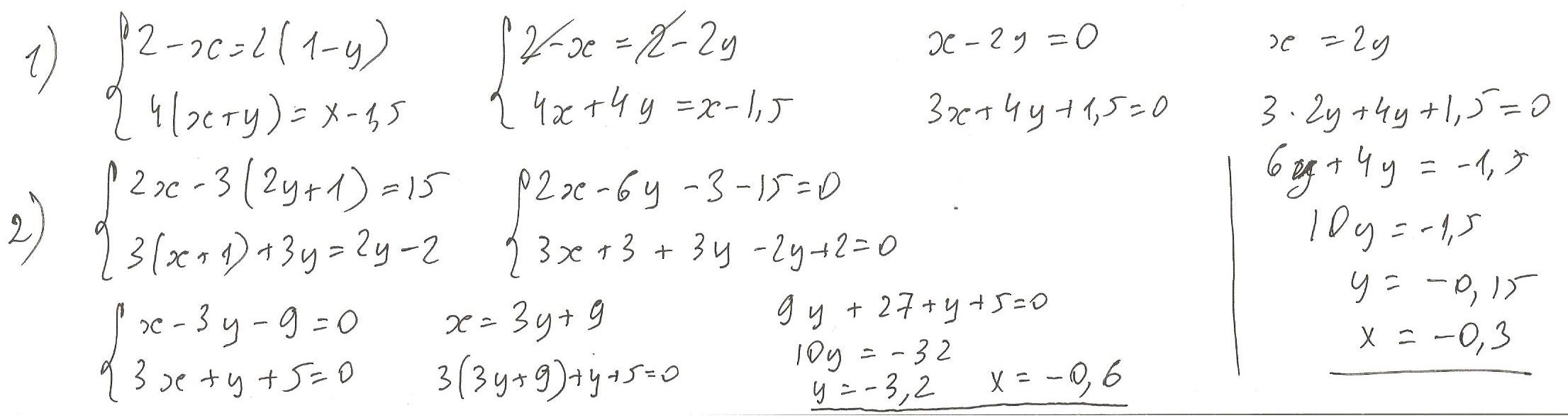
решите системы:

1)2- x=2(1-y) и  4(x+y)=x-1.5

2)2x-3(2y+1)=15  и  3(x+1)+3y=2y-2

Ответы

Ответ дал: Artem112
0

надеюсь апонятно будет....

Приложения:
Вас заинтересует