Ответы
Ответ дал:
0
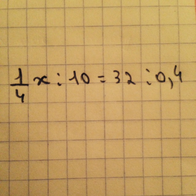
0,4х/4=10*32
0,1х=320
х=320/0,1
х=3200
0,1х=320
х=320/0,1
х=3200
Ответ дал:
0
х4(10)=32 ,4
0,4х4=32*10
0,4х4=320
0,4х=320*4
0,4х=1280
х=1280 ,4
х=3200
проверка
3200410=32 ,4
80010=80
80=80
Ответ ------ х=3200
0,4х4=32*10
0,4х4=320
0,4х=320*4
0,4х=1280
х=1280 ,4
х=3200
проверка
3200410=32 ,4
80010=80
80=80
Ответ ------ х=3200
Ответ дал:
0
проверено
Ответ дал:
0
Да
Вас заинтересует
3 года назад
11 лет назад
11 лет назад
11 лет назад