• Предмет: Алгебра
  • Автор: love67
  • Вопрос задан 11 лет назад

здравствуите помогите пожалуйста
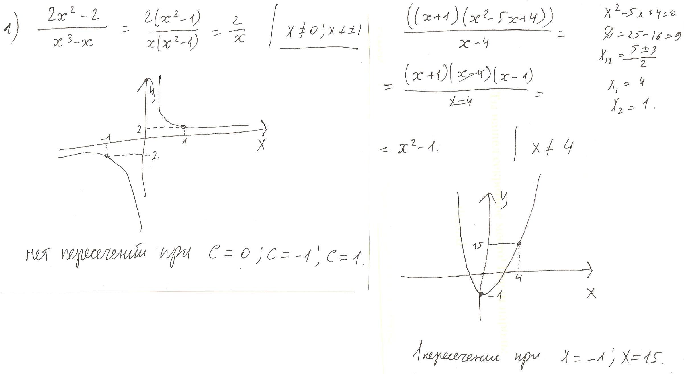
1построить график функции у=(2 х²-2) ÷ (x^3-x) и определить при каких значениях параметра с прямая у= с не пересекается с графиком функции


 

2построить график функции у=((x+1)(x²-5x+4))÷(х-4)и определить при каких з начениях параметра с прямая у= с имеет с графиком функции ровно одну общую точку

Ответы

Ответ дал: Artem112
0

графики схематично набросал а так надеюсь понятно будет...

Приложения:
Вас заинтересует