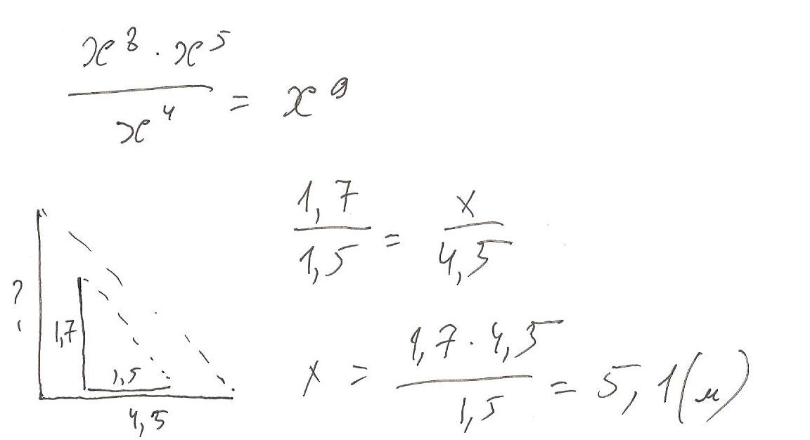
1. укажите выражение, тождественно равное дроби: х в степени-8*хв степени5 деленое на х в степени4.
2.Человек, рост которого равен 1 м 70 см, стоит рядом с деревом. найдите высоту дерева (в метрах), если длина тени человека равна 1 м 50 см, а длина тени дерева равна 4 м 50 см.
Ответы
Ответ дал:
0
надеюсь понятно будет....
Приложения:

Вас заинтересует
2 года назад
2 года назад
8 лет назад
8 лет назад
10 лет назад
10 лет назад
10 лет назад