Ответы
Ответ дал:
0
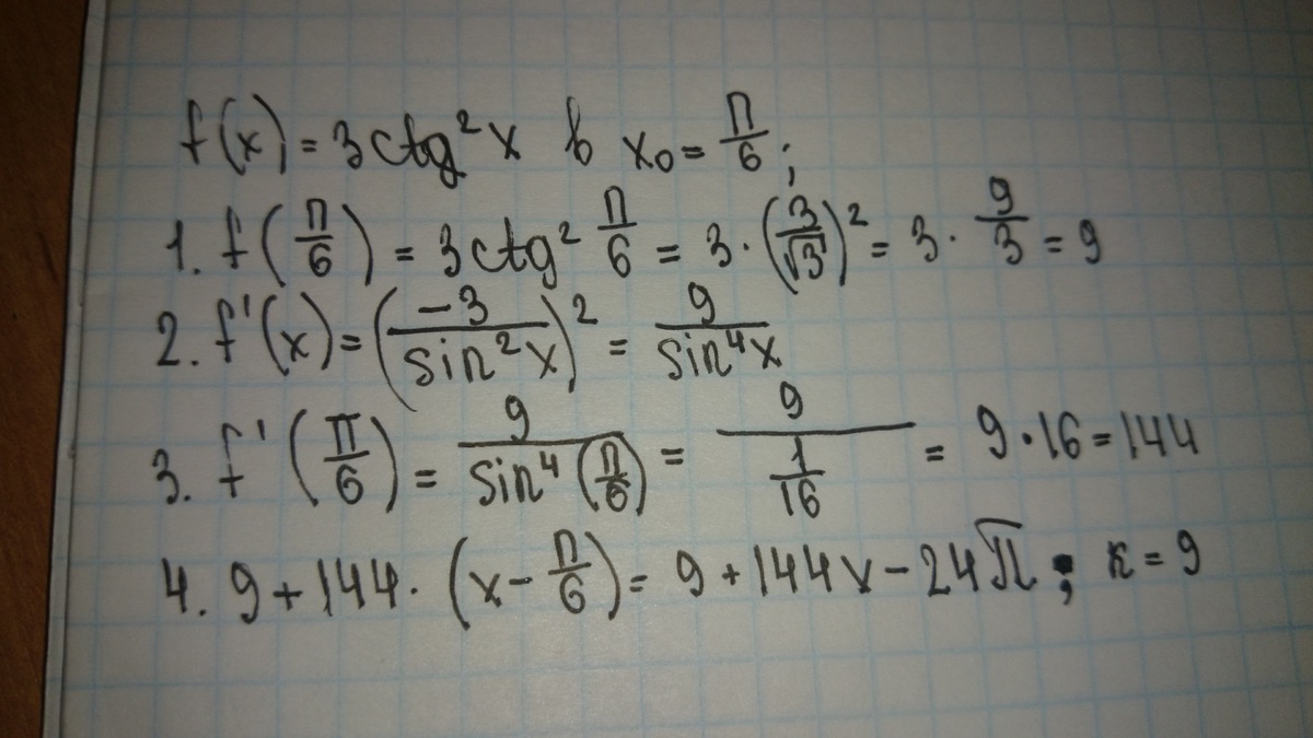
Решение в фото
P.S.: 1) неуверена, что правильно
2) это раздел математики, а не физики
P.S.: 1) неуверена, что правильно
2) это раздел математики, а не физики
Приложения:
Вас заинтересует
3 года назад
8 лет назад
11 лет назад
11 лет назад