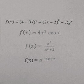
Найти производную функции e^(-7x+9) и (4-3x)^7+(3x-2)^(1/2)-ctg((x)^x), но надо с решением
Приложения:

Ответы
Ответ дал:
0
1) f"(x)= e^{-7x+9} *(-7x+9)'=-7e^{-7x+9}
2) f '(x)=7(4-3x)^{6} * (4-3x)'+1/2(3x-2)^{-1/2}*(3x-2)'+(1/sin^{2}x)=7(4-3x)^{6}(-3)+1/2(3x-2)^{-1/2}*3+1/sinx^{2}x=-21(4-3x)^{6}+3/2(3x-2){-1/2}+1/sin^{2}x
2) f '(x)=7(4-3x)^{6} * (4-3x)'+1/2(3x-2)^{-1/2}*(3x-2)'+(1/sin^{2}x)=7(4-3x)^{6}(-3)+1/2(3x-2)^{-1/2}*3+1/sinx^{2}x=-21(4-3x)^{6}+3/2(3x-2){-1/2}+1/sin^{2}x
Вас заинтересует
2 года назад
2 года назад
7 лет назад
7 лет назад
10 лет назад
10 лет назад