Ответы
Ответ дал:
0
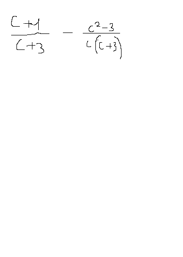
все решение на картинке
--------------------------------------------------------------------
--------------------------------------------------------------------
Приложения:

Вас заинтересует
7 лет назад
10 лет назад
10 лет назад
10 лет назад