Ответы
Ответ дал:
0
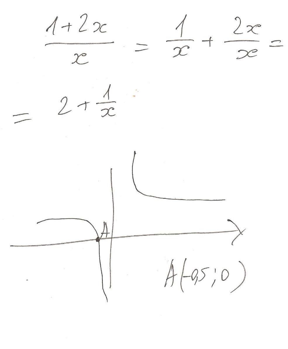
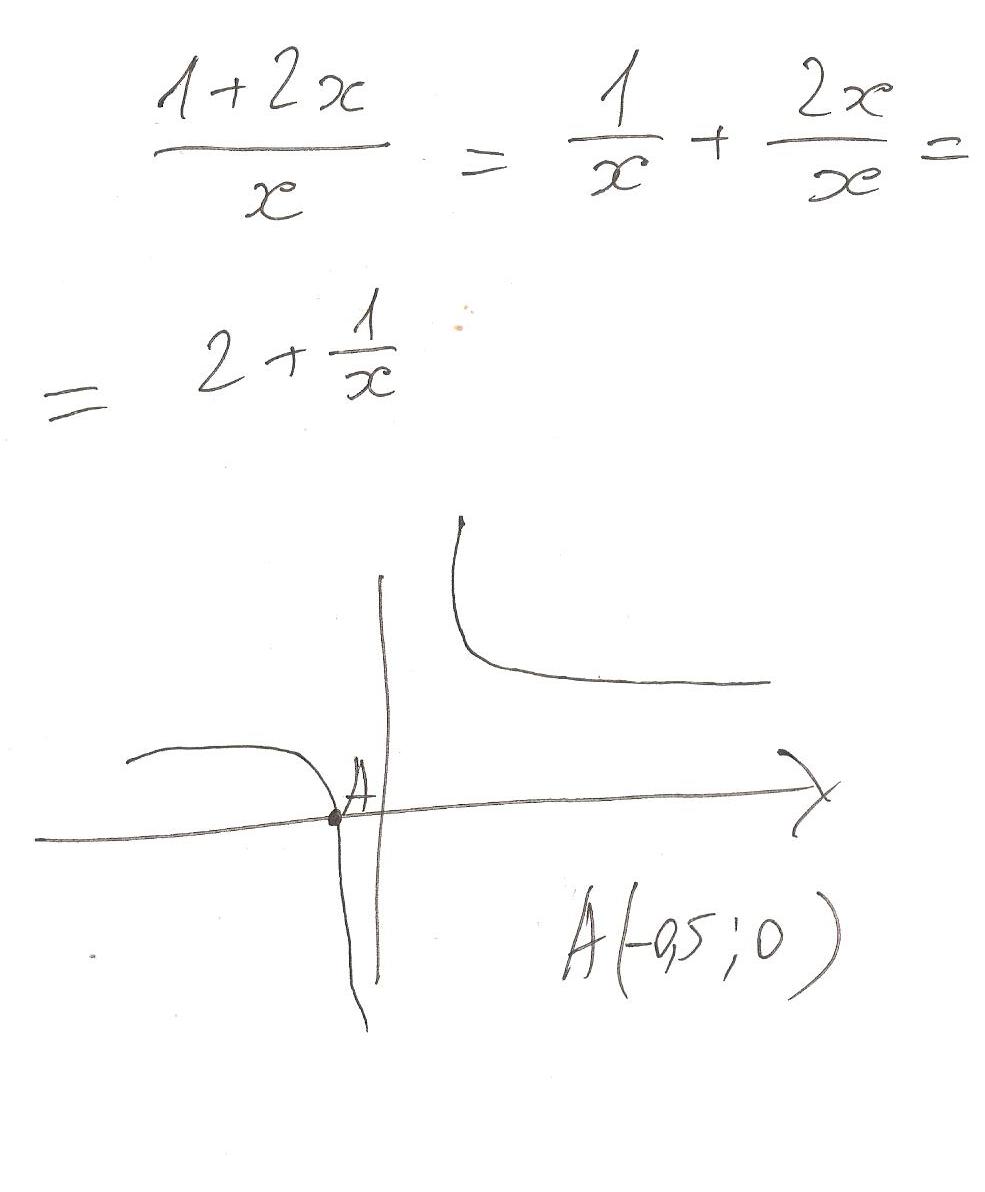
преобразовываем как у меня на картинке и строим график (гипербола сдвинутая на 2 единицы вверх) и находим пересечения с осью х
Приложения:


Вас заинтересует
2 года назад
8 лет назад
10 лет назад
10 лет назад