• Предмет: Алгебра
  • Автор: dolina13
  • Вопрос задан 11 лет назад

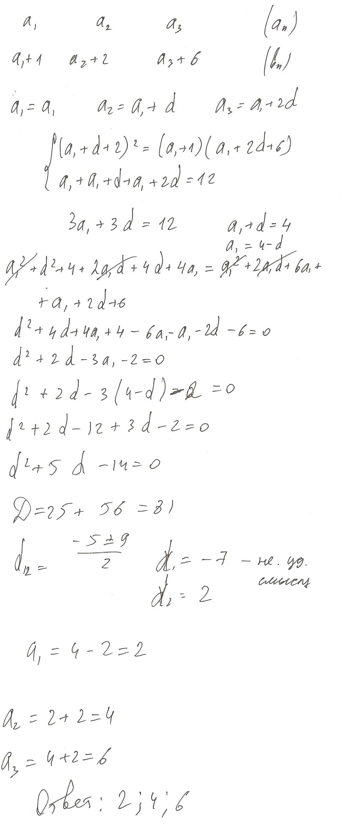
Три положительный числа, сумма которых равна 12, составляет арифмитическую прогрессию. если к ним соответсвенно прибавить 1,2,6, то полученные числа составят геомерическую прогрессию. найдите эти числа

Ответы

Ответ дал: Artem112
0

может как-то замудрено, но вот так....

Приложения:
Вас заинтересует